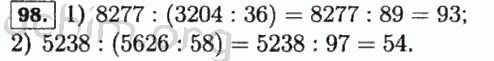
Номер 98 - Решебник по математике 5 класс Виленкин
Вы открыли задание номер 98 из решебника на uchim.org.
Другие номера:
← 73 74 75 76 77 78 79 80 81 82 83 84 85 86 87 88 89 90 91 92 93 94 95 96 97 98 99 100 101 102 103 104 105 106 107 108 109 110 111 112 113 114 115 116 117 118 119 120 121 122 123 →
(кликните по решению, если нужно изменить размер)

Введите номер задания:
Всё для учебы » ГДЗ бесплатно » » Номер 98 - Решебник по математике 5 класс Виленкин