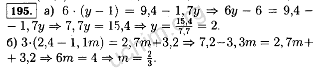
Номер 195 - Решебник по алгебре, 7 класс, Макарычев ФГОС
Вы открыли задание номер 195 из решебника на uchim.org.
Другие номера: Решебник по алгебре, 7 класс, Макарычев ФГОС
← 170 171 172 173 174 175 176 177 178 179 180 181 182 183 184 185 186 187 188 189 190 191 192 193 194 195 196 197 198 199 200 201 202 203 204 205 206 207 208 209 210 211 212 213 214 215 216 217 218 219 220 →
(кликните по решению, если нужно изменить размер)

Нужен решебник к более старому учебнику или другой вариант решения? Тогда введите номер задания здесь:
Всё для учебы » ГДЗ бесплатно » Решебник по алгебре, 7 класс, Макарычев ФГОС » Номер 195 - Решебник по алгебре, 7 класс, Макарычев ФГОС