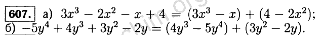
Номер 607 - Решебник по алгебре, 7 класс, Макарычев ФГОС
Вы открыли задание номер 607 из решебника на uchim.org.
Другие номера: Решебник по алгебре, 7 класс, Макарычев ФГОС
← 582 583 584 585 586 587 588 589 590 591 592 593 594 595 596 597 598 599 600 601 602 603 604 605 606 607 608 609 610 611 612 613 614 615 616 617 618 619 620 621 622 623 624 625 626 627 628 629 630 631 632 →
(кликните по решению, если нужно изменить размер)

Нужен решебник к более старому учебнику или другой вариант решения? Тогда введите номер задания здесь:
Всё для учебы » ГДЗ бесплатно » Решебник по алгебре, 7 класс, Макарычев ФГОС » Номер 607 - Решебник по алгебре, 7 класс, Макарычев ФГОС