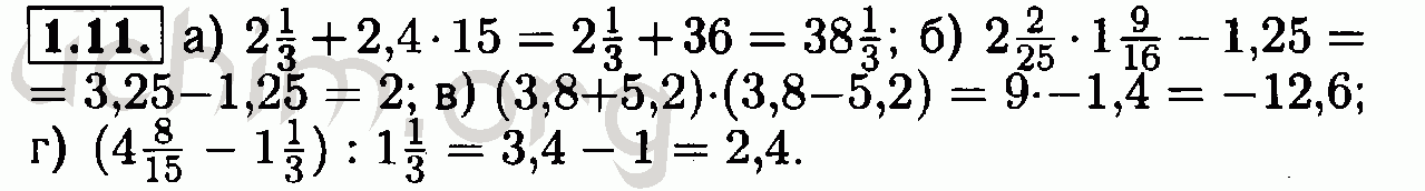
Номер 1.11 - Решебник по алгебре 7 класс Мордкович
Вы открыли задание номер 1.11 из решебника на uchim.org.
Другие номера:
← 1.1 1.2 1.3 1.4 1.5 1.6 1.7 1.8 1.9 1.10 1.11 1.12 1.13 1.14 1.15 1.16 1.17 1.18 1.19 1.20 1.21 1.22 1.23 1.24 1.25 1.26 1.27 1.28 1.29 1.30 1.31 1.32 1.33 1.34 1.35 1.36 →
(кликните по решению, если нужно изменить размер)

Введите номер задания:
Всё для учебы » ГДЗ бесплатно » » Номер 1.11 - Решебник по алгебре 7 класс Мордкович