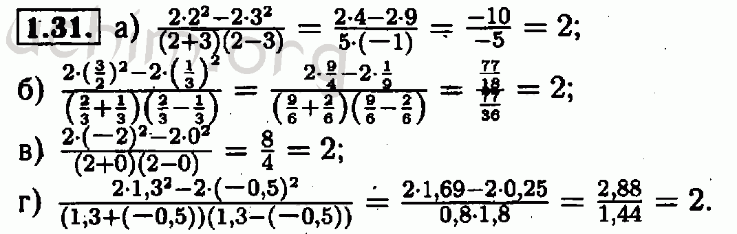
Номер 1.31 - Решебник по алгебре 7 класс Мордкович
Вы открыли задание номер 1.31 из решебника на uchim.org.
Другие номера:
← 1.6 1.7 1.8 1.9 1.10 1.11 1.12 1.13 1.14 1.15 1.16 1.17 1.18 1.19 1.20 1.21 1.22 1.23 1.24 1.25 1.26 1.27 1.28 1.29 1.30 1.31 1.32 1.33 1.34 1.35 1.36 1.37 1.38 1.39 1.40 1.41 1.42 1.43 1.44 1.45 1.46 1.47 2.1 2.2 2.3 2.4 2.5 2.6 2.7 2.8 2.9 →
(кликните по решению, если нужно изменить размер)

Введите номер задания:
Всё для учебы » ГДЗ бесплатно » » Номер 1.31 - Решебник по алгебре 7 класс Мордкович