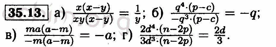
Номер 35.13 - Решебник по алгебре 7 класс Мордкович
Вы открыли задание номер 35.13 из решебника на uchim.org.
Другие номера:
← 34-16 34-17 34-18 34-19 34-20 34-21 34-23 34-24 34-25 34-26 34-27 34-28 34-29 35.1 35.2 35.3 35.4 35.5 35.6 35.7 35.8 35.9 35.10 35.11 35.12 35.13 35.14 35.15 35.16 35.17 35.18 35.19 35.20 35.21 35.22 35.23 35.24 35.25 35.26 35.27 35.28 35.29 35.30 35.31 35.32 35.33 35.34 35.35 35.36 35.37 35.38 →
(кликните по решению, если нужно изменить размер)

Открыть номер 35.13 с телефона
Введите номер задания:
Всё для учебы » ГДЗ бесплатно » » Номер 35.13 - Решебник по алгебре 7 класс Мордкович