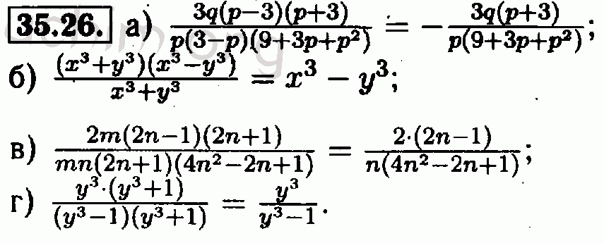
Номер 35.26 - Решебник по алгебре 7 класс Мордкович
Вы открыли задание номер 35.26 из решебника на uchim.org.
Другие номера:
← 35.1 35.2 35.3 35.4 35.5 35.6 35.7 35.8 35.9 35.10 35.11 35.12 35.13 35.14 35.15 35.16 35.17 35.18 35.19 35.20 35.21 35.22 35.23 35.24 35.25 35.26 35.27 35.28 35.29 35.30 35.31 35.32 35.33 35.34 35.35 35.36 35.37 35.38 35.39 35.40 35.41 35.42 36.1 36.2 36.3 36.4 36.5 36.6 36.7 36.8 36.9 →
(кликните по решению, если нужно изменить размер)

Открыть номер 35.26 с телефона
Введите номер задания:
Всё для учебы » ГДЗ бесплатно » » Номер 35.26 - Решебник по алгебре 7 класс Мордкович