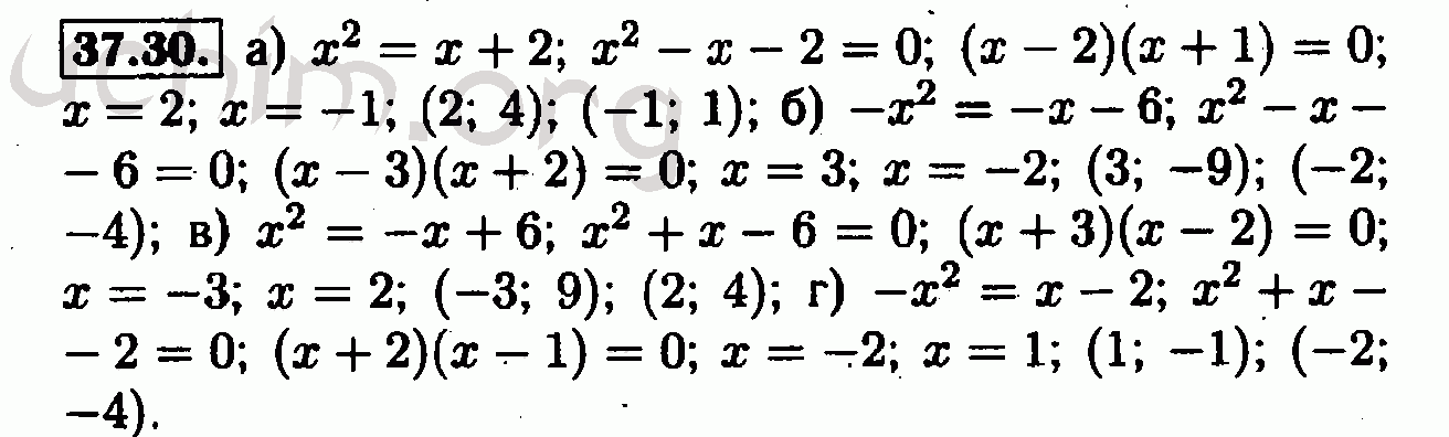
Номер 37.30 - Решебник по алгебре 7 класс Мордкович
Вы открыли задание номер 37.30 из решебника на uchim.org.
Другие номера:
← 37.5 37.6 37.7 37.8 37.9 37.10 37.11 37.12 37.13 37.14 37.15 37.16 37.17 37.18 37.19 37.20 37.21 37.22 37.23 37.24 37.25 37.26 37.27 37.28 37.29 37.30 37.31 37.32 37.33 37.34 37.35 37.36 37.37 37.38 37.39 37.40 37.41 37.42 37.43 37.44 37.45 37.46 37.47 37.48 37.49 37.50 37.51 37.52 37.53 37.54 37.55 →
(кликните по решению, если нужно изменить размер)

Открыть номер 37.30 с телефона
Введите номер задания:
Всё для учебы » ГДЗ бесплатно » » Номер 37.30 - Решебник по алгебре 7 класс Мордкович