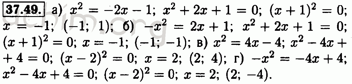
Номер 37.49 - Решебник по алгебре 7 класс Мордкович
Вы открыли задание номер 37.49 из решебника на uchim.org.
Другие номера:
← 37.24 37.25 37.26 37.27 37.28 37.29 37.30 37.31 37.32 37.33 37.34 37.35 37.36 37.37 37.38 37.39 37.40 37.41 37.42 37.43 37.44 37.45 37.46 37.47 37.48 37.49 37.50 37.51 37.52 37.53 37.54 37.55 37.56 38.1 38.2 38.3 38.4 38.5 38.6 38.7 38.8 38.9 38.10 38.11 38.12 38.13 38.14 38.15 38.16 39.1 39.2 →
(кликните по решению, если нужно изменить размер)

Открыть номер 37.49 с телефона
Введите номер задания:
Всё для учебы » ГДЗ бесплатно » » Номер 37.49 - Решебник по алгебре 7 класс Мордкович