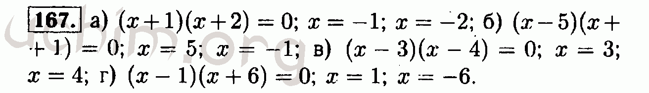
Номер 167 - Решебник по алгебре 7 класс Мордкович
Вы открыли задание номер 167 из решебника на uchim.org.
Другие номера:
← 142 143 144 145 146 147 148 149 150 151 152 153 154 155 156 157 158 159 160 161 162 163 164 165 166 167 168 169 170 171 172 173 174 175 176 177 178 179 180 181 182 183 184 185 186 187 188 →
(кликните по решению, если нужно изменить размер)

Введите номер задания:
Всё для учебы » ГДЗ бесплатно » » Номер 167 - Решебник по алгебре 7 класс Мордкович