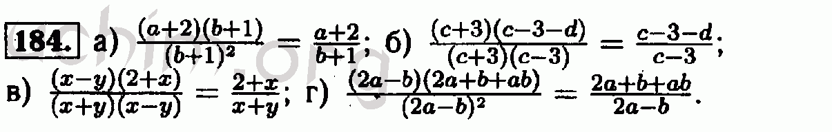
Номер 184 - Решебник по алгебре 7 класс Мордкович
Вы открыли задание номер 184 из решебника на uchim.org.
Другие номера:
← 159 160 161 162 163 164 165 166 167 168 169 170 171 172 173 174 175 176 177 178 179 180 181 182 183 184 185 186 187 188 →
(кликните по решению, если нужно изменить размер)

Введите номер задания:
Всё для учебы » ГДЗ бесплатно » » Номер 184 - Решебник по алгебре 7 класс Мордкович