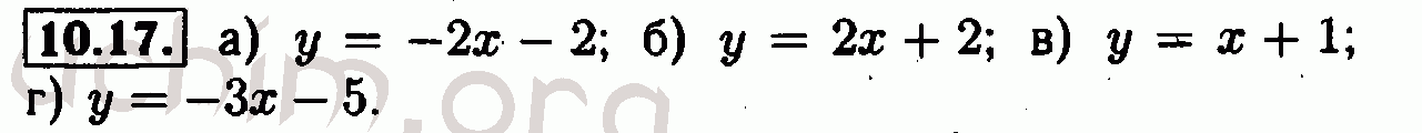
Номер 10.17 - Решебник по алгебре 7 класс Мордкович
Вы открыли задание номер 10.17 из решебника на uchim.org.
Другие номера:
← 9.11 9.12 9.13 9.14 9.15 9.16 9.17 9.18 9.19 10.1 10.2 10.3 10.4 10.5 10.6 10.7 10.8 10.9 10.10 10.11 10.12 10.13 10.14 10.15 10.16 10.17 10.18 10.19 10.20 10.21 10.22 10.23 Вариант №1 Вариант №2 11.1 11.2 11.3 11.4 11.5 11.6 11.7 11.8 11.9 11.10 11.11 11.12 11.13 11.14 11.15 11.16 11.17 →
(кликните по решению, если нужно изменить размер)

Открыть номер 10.17 с телефона
Введите номер задания:
Всё для учебы » ГДЗ бесплатно » » Номер 10.17 - Решебник по алгебре 7 класс Мордкович