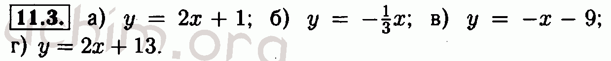
Номер 11.3 - Решебник по алгебре 7 класс Мордкович
Вы открыли задание номер 11.3 из решебника на uchim.org.
Другие номера:
← 10.3 10.4 10.5 10.6 10.7 10.8 10.9 10.10 10.11 10.12 10.13 10.14 10.15 10.16 10.17 10.18 10.19 10.20 10.21 10.22 10.23 Вариант №1 Вариант №2 11.1 11.2 11.3 11.4 11.5 11.6 11.7 11.8 11.9 11.10 11.11 11.12 11.13 11.14 11.15 11.16 11.17 11.18 11.19 11.20 11.21 12.1 12.2 12.3 12.4 12.5 12.6 12.7 →
(кликните по решению, если нужно изменить размер)

Введите номер задания:
Всё для учебы » ГДЗ бесплатно » » Номер 11.3 - Решебник по алгебре 7 класс Мордкович