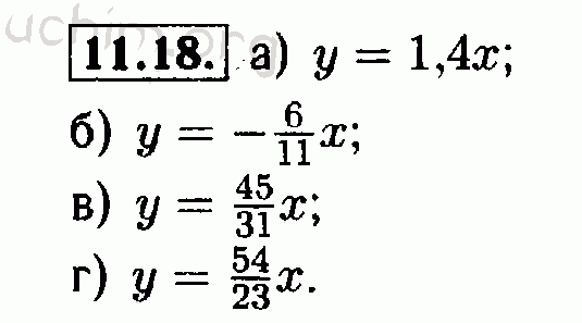
Номер 11.18 - Решебник по алгебре 7 класс Мордкович
Вы открыли задание номер 11.18 из решебника на uchim.org.
Другие номера:
← 10.18 10.19 10.20 10.21 10.22 10.23 Вариант №1 Вариант №2 11.1 11.2 11.3 11.4 11.5 11.6 11.7 11.8 11.9 11.10 11.11 11.12 11.13 11.14 11.15 11.16 11.17 11.18 11.19 11.20 11.21 12.1 12.2 12.3 12.4 12.5 12.6 12.7 12.8 12.9 12.10 12.11 12.12 12.13 12.14 12.15 12.16 12.17 12.18 12.19 12.20 12.21 12.22 →
(кликните по решению, если нужно изменить размер)

Открыть номер 11.18 с телефона
Введите номер задания:
Всё для учебы » ГДЗ бесплатно » » Номер 11.18 - Решебник по алгебре 7 класс Мордкович