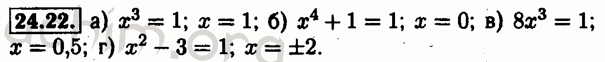
Номер 24.22 - Решебник по алгебре 7 класс Мордкович
Вы открыли задание номер 24.22 из решебника на uchim.org.
Другие номера:
← 23.18 23.19 Вариант №1 Вариант №2 24.1 24.2 24.3 24.4 24.5 24.6 24.7 24.8 24.9 24.10 24.11 24.12 24.13 24.14 24.15 24.16 24.17 24.18 24.19 24.20 24.21 24.22 24.23 24.24 24.25 24.26 24.27 24.28 25.1 25.2 25.3 25.4 25.5 25.6 25.7 25.8 25.9 25.10 25.11 25.12 25.13 26.1 26.2 26.3 26.4 26.5 26.6 →
(кликните по решению, если нужно изменить размер)

Открыть номер 24.22 с телефона
Введите номер задания:
Всё для учебы » ГДЗ бесплатно » » Номер 24.22 - Решебник по алгебре 7 класс Мордкович