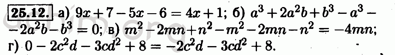
Номер 25.12 - Решебник по алгебре 7 класс Мордкович
Вы открыли задание номер 25.12 из решебника на uchim.org.
Другие номера:
← 24.15 24.16 24.17 24.18 24.19 24.20 24.21 24.22 24.23 24.24 24.25 24.26 24.27 24.28 25.1 25.2 25.3 25.4 25.5 25.6 25.7 25.8 25.9 25.10 25.11 25.12 25.13 26.1 26.2 26.3 26.4 26.5 26.6 26.7 26.8 26.9 26.10 26.11 26.12 26.13 26.14 26.15 26.16 26.17 26.18 26.19 26.20 26.21 26.22 26.23 26.24 →
(кликните по решению, если нужно изменить размер)

Открыть номер 25.12 с телефона
Введите номер задания:
Всё для учебы » ГДЗ бесплатно » » Номер 25.12 - Решебник по алгебре 7 класс Мордкович