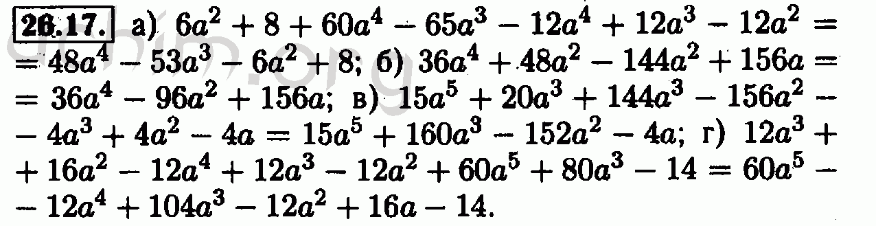
Номер 26.17 - Решебник по алгебре 7 класс Мордкович
Вы открыли задание номер 26.17 из решебника на uchim.org.
Другие номера:
← 25.5 25.6 25.7 25.8 25.9 25.10 25.11 25.12 25.13 26.1 26.2 26.3 26.4 26.5 26.6 26.7 26.8 26.9 26.10 26.11 26.12 26.13 26.14 26.15 26.16 26.17 26.18 26.19 26.20 26.21 26.22 26.23 26.24 26.25 26.26 26.27 26.28 26.29 26.30 26.31 26.32 26.33 27.1 27.2 27.3 27.4 27.5 27.6 27.7 27.8 27.9 →
(кликните по решению, если нужно изменить размер)

Открыть номер 26.17 с телефона
Введите номер задания:
Всё для учебы » ГДЗ бесплатно » » Номер 26.17 - Решебник по алгебре 7 класс Мордкович