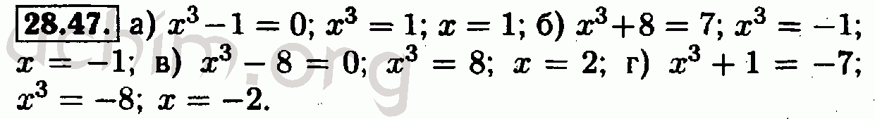
Номер 28.47 - Решебник по алгебре 7 класс Мордкович
Вы открыли задание номер 28.47 из решебника на uchim.org.
Другие номера:
← 28.22 28.23 28.24 28.25 28.26 28.27 28.28 28.29 28.30 28.31 28.32 28.33 28.34 28.35 28.36 28.37 28.38 28.39 28.40 28.41 28.42 28.43 28.44 28.45 28.46 28.47 28.48 28.49 28.50 28.51 28.52 28.53 28.54 28.55 28.56 28.57 28.58 28.59 28.60 28.61 28.62 28.63 28.64 28.65 29.1 29.2 29.3 29.4 29.5 29.6 29.7 →
(кликните по решению, если нужно изменить размер)

Открыть номер 28.47 с телефона
Введите номер задания:
Всё для учебы » ГДЗ бесплатно » » Номер 28.47 - Решебник по алгебре 7 класс Мордкович