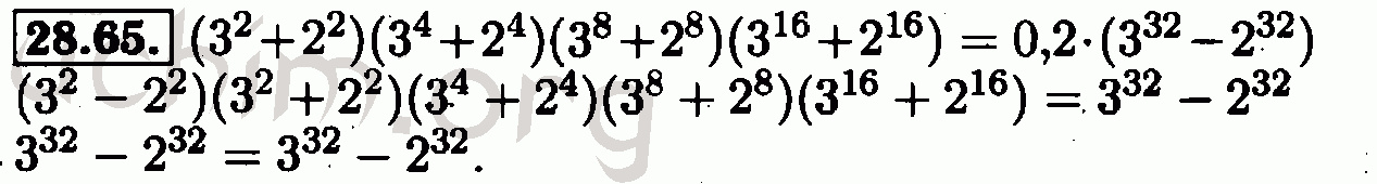
Номер 28.65 - Решебник по алгебре 7 класс Мордкович
Вы открыли задание номер 28.65 из решебника на uchim.org.
Другие номера:
← 28.40 28.41 28.42 28.43 28.44 28.45 28.46 28.47 28.48 28.49 28.50 28.51 28.52 28.53 28.54 28.55 28.56 28.57 28.58 28.59 28.60 28.61 28.62 28.63 28.64 28.65 29.1 29.2 29.3 29.4 29.5 29.6 29.7 29.8 29.9 29.10 29.11 29.12 29.13 29.14 29.15 29.16 29.17 Вариант №1 Вариант №2 30.1 30.2 30.3 30.4 30.5 30.6 →
(кликните по решению, если нужно изменить размер)

Открыть номер 28.65 с телефона
Введите номер задания:
Всё для учебы » ГДЗ бесплатно » » Номер 28.65 - Решебник по алгебре 7 класс Мордкович