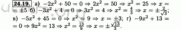
Номер 24.19 - Решебник по алгебре 8 класс Мордкович
Вы открыли задание номер 24.19 из решебника на uchim.org.
Другие номера:
← 23.20 23.21 23.22 23.23 23.24 Вариант №1 Вариант №2 24.1 24.2 24.3 24.4 24.5 24.6 24.7 24.8 24.9 24.10 24.11 24.12 24.13 24.14 24.15 24.16 24.17 24.18 24.19 24.20 24.21 24.22 24.23 24.24 24.25 24.26 24.27 24.28 24.29 24.30 24.31 24.32 24.33 24.34 24.35 24.36 24.37 24.38 24.39 25.1 25.2 25.3 25.4 25.5 →
(кликните по решению, если нужно изменить размер)

Открыть номер 24.19 с телефона
Введите номер задания:
Всё для учебы » ГДЗ бесплатно » » Номер 24.19 - Решебник по алгебре 8 класс Мордкович