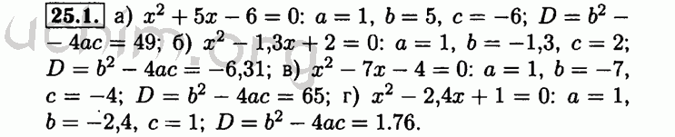
Номер 25.1 - Решебник по алгебре 8 класс Мордкович
Вы открыли задание номер 25.1 из решебника на uchim.org.
Другие номера:
← 24.15 24.16 24.17 24.18 24.19 24.20 24.21 24.22 24.23 24.24 24.25 24.26 24.27 24.28 24.29 24.30 24.31 24.32 24.33 24.34 24.35 24.36 24.37 24.38 24.39 25.1 25.2 25.3 25.4 25.5 25.6 25.7 25.8 25.9 25.10 25.11 25.12 25.13 25.14 25.27 25.28 25.29 25.30 25.31 25.37 25.38 25.39 25.40 25.41 25.42 25.43 →
(кликните по решению, если нужно изменить размер)

Введите номер задания:
Всё для учебы » ГДЗ бесплатно » » Номер 25.1 - Решебник по алгебре 8 класс Мордкович