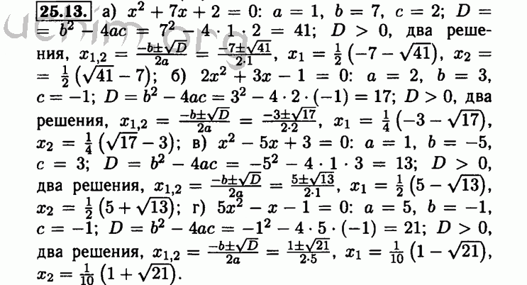
Номер 25.13 - Решебник по алгебре 8 класс Мордкович
Вы открыли задание номер 25.13 из решебника на uchim.org.
Другие номера:
← 24.27 24.28 24.29 24.30 24.31 24.32 24.33 24.34 24.35 24.36 24.37 24.38 24.39 25.1 25.2 25.3 25.4 25.5 25.6 25.7 25.8 25.9 25.10 25.11 25.12 25.13 25.14 25.27 25.28 25.29 25.30 25.31 25.37 25.38 25.39 25.40 25.41 25.42 25.43 25.44 25.45 25.46 25.47 25.48 26.1 26.2 26.3 26.4 26.5 26.6 26.7 →
(кликните по решению, если нужно изменить размер)

Открыть номер 25.13 с телефона
Введите номер задания:
Всё для учебы » ГДЗ бесплатно » » Номер 25.13 - Решебник по алгебре 8 класс Мордкович