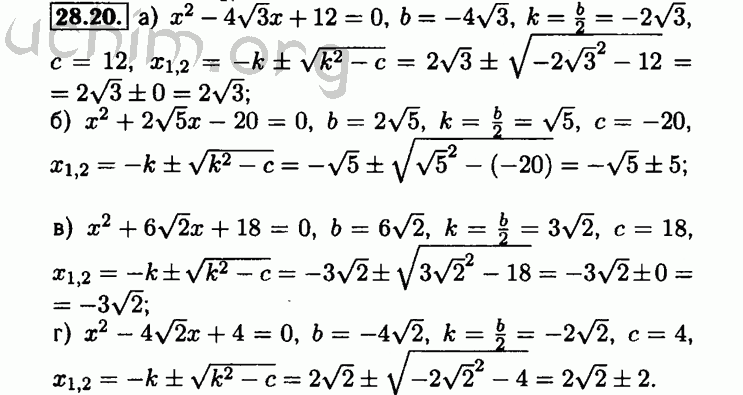
Номер 28.20 - Решебник по алгебре 8 класс Мордкович
Вы открыли задание номер 28.20 из решебника на uchim.org.
Другие номера:
← 27.40 27.41 27.42 27.43 27.44 27.45 28.1 28.2 28.3 28.4 28.5 28.6 28.7 28.8 28.9 28.10 28.11 28.12 28.13 28.14 28.15 28.16 28.17 28.18 28.19 28.20 28.21 28.22 28.23 28.24 28.25 28.26 28.27 28.28 29.1 29.2 29.3 29.4 29.5 29.6 29.7 29.8 29.9 29.10 29.11 29.12 29.13 29.14 29.15 29.16 29.17 →
(кликните по решению, если нужно изменить размер)

Открыть номер 28.20 с телефона
Введите номер задания:
Всё для учебы » ГДЗ бесплатно » » Номер 28.20 - Решебник по алгебре 8 класс Мордкович