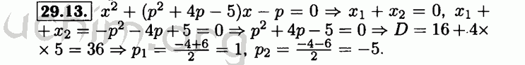
Номер 29.13 - Решебник по алгебре 8 класс Мордкович
Вы открыли задание номер 29.13 из решебника на uchim.org.
Другие номера:
← 28.16 28.17 28.18 28.19 28.20 28.21 28.22 28.23 28.24 28.25 28.26 28.27 28.28 29.1 29.2 29.3 29.4 29.5 29.6 29.7 29.8 29.9 29.10 29.11 29.12 29.13 29.14 29.15 29.16 29.17 29.18 29.19 29.20 29.21 29.22 29.23 29.24 29.25 29.26 29.27 29.28 29.29 29.30 29.31 29.32 29.33 29.34 29.35 29.36 29.37 29.38 →
(кликните по решению, если нужно изменить размер)

Открыть номер 29.13 с телефона
Введите номер задания:
Всё для учебы » ГДЗ бесплатно » » Номер 29.13 - Решебник по алгебре 8 класс Мордкович