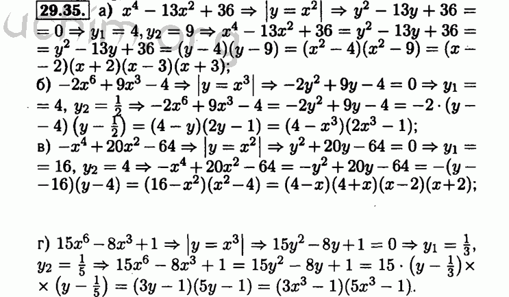
Номер 29.35 - Решебник по алгебре 8 класс Мордкович
Вы открыли задание номер 29.35 из решебника на uchim.org.
Другие номера:
← 29.10 29.11 29.12 29.13 29.14 29.15 29.16 29.17 29.18 29.19 29.20 29.21 29.22 29.23 29.24 29.25 29.26 29.27 29.28 29.29 29.30 29.31 29.32 29.33 29.34 29.35 29.36 29.37 29.38 29.39 29.40 29.41 29.42 29.43 29.44 29.45 29.46 29.47 29.48 29.49 29.50 29.51 29.52 29.53 29.54 29.55 30.1 30.2 30.3 30.4 30.5 →
(кликните по решению, если нужно изменить размер)

Открыть номер 29.35 с телефона
Введите номер задания:
Всё для учебы » ГДЗ бесплатно » » Номер 29.35 - Решебник по алгебре 8 класс Мордкович