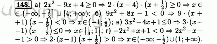
Номер 148 - Решебник по алгебре 8 класс Мордкович
Вы открыли задание номер 148 из решебника на uchim.org.
Другие номера:
← 123 124 125 126 127 128 129 130 131 132 133 134 135 136 137 138 139 140 141 142 143 144 145 146 147 148 149 150 151 152 153 154 155 156 157 158 →
(кликните по решению, если нужно изменить размер)

Введите номер задания:
Всё для учебы » ГДЗ бесплатно » » Номер 148 - Решебник по алгебре 8 класс Мордкович