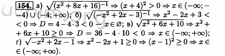
Номер 154 - Решебник по алгебре 8 класс Мордкович
Вы открыли задание номер 154 из решебника на uchim.org.
Другие номера:
← 129 130 131 132 133 134 135 136 137 138 139 140 141 142 143 144 145 146 147 148 149 150 151 152 153 154 155 156 157 158 →
(кликните по решению, если нужно изменить размер)

Введите номер задания:
Всё для учебы » ГДЗ бесплатно » » Номер 154 - Решебник по алгебре 8 класс Мордкович