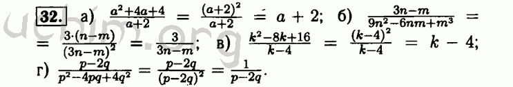
Номер 32 - Решебник по алгебре 8 класс Мордкович
Вы открыли задание номер 32 из решебника на uchim.org.
Другие номера:
← 7 8 9 10 11 12 13 14 15 16 17 18 19 20 21 22 23 24 25 26 27 28 29 30 31 32 33 34 35 36 37 42 43 44 45 46 47 48 49 50 51 52 53 54 55 56 57 58 59 60 61 →
(кликните по решению, если нужно изменить размер)

Введите номер задания:
Всё для учебы » ГДЗ бесплатно » » Номер 32 - Решебник по алгебре 8 класс Мордкович