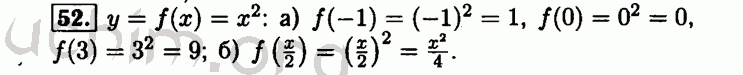
Номер 52 - Решебник по алгебре 8 класс Мордкович
Вы открыли задание номер 52 из решебника на uchim.org.
Другие номера:
← 23 24 25 26 27 28 29 30 31 32 33 34 35 36 37 42 43 44 45 46 47 48 49 50 51 52 53 54 55 56 57 58 59 60 61 62 63 64 65 66 67 68 1.1 1.2 1.3 1.4 1.5 1.6 1.7 1.8 1.9 →
(кликните по решению, если нужно изменить размер)

Введите номер задания:
Всё для учебы » ГДЗ бесплатно » » Номер 52 - Решебник по алгебре 8 класс Мордкович