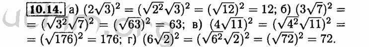
Номер 10.14 - Решебник по алгебре 8 класс Мордкович
Вы открыли задание номер 10.14 из решебника на uchim.org.
Другие номера:
← 9.18 9.19 9.20 9.21 9.22 9.23 9.24 9.25 9.26 9.27 9.28 9.29 10.1 10.2 10.3 10.4 10.5 10.6 10.7 10.8 10.9 10.10 10.11 10.12 10.13 10.14 10.15 10.16 10.17 10.18 10.19 10.20 10.21 10.22 10.23 10.24 10.25 10.26 10.27 10.28 10.29 10.30 10.31 10.32 10.33 10.34 10.35 10.36 10.37 10.38 10.39 →
(кликните по решению, если нужно изменить размер)

Открыть номер 10.14 с телефона
Введите номер задания:
Всё для учебы » ГДЗ бесплатно » » Номер 10.14 - Решебник по алгебре 8 класс Мордкович