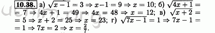
Номер 10.38 - Решебник по алгебре 8 класс Мордкович
Вы открыли задание номер 10.38 из решебника на uchim.org.
Другие номера:
← 10.13 10.14 10.15 10.16 10.17 10.18 10.19 10.20 10.21 10.22 10.23 10.24 10.25 10.26 10.27 10.28 10.29 10.30 10.31 10.32 10.33 10.34 10.35 10.36 10.37 10.38 10.39 10.40 10.41 10.42 10.43 11.1 11.2 11.3 11.4 11.5 11.6 11.7 11.8 11.9 11.10 11.11 11.12 11.13 11.14 11.15 11.16 11.17 12.1 12.2 12.3 →
(кликните по решению, если нужно изменить размер)

Открыть номер 10.38 с телефона
Введите номер задания:
Всё для учебы » ГДЗ бесплатно » » Номер 10.38 - Решебник по алгебре 8 класс Мордкович