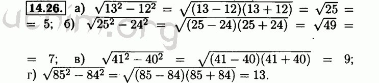
Номер 14.26 - Решебник по алгебре 8 класс Мордкович
Вы открыли задание номер 14.26 из решебника на uchim.org.
Другие номера:
← 14.1 14.2 14.3 14.4 14.5 14.6 14.7 14.8 14.9 14.10 14.11 14.12 14.13 14.14 14.15 14.16 14.17 14.18 14.19 14.20 14.21 14.22 14.23 14.24 14.25 14.26 14.27 14.28 14.29 14.30 14.31 14.32 14.33 14.34 14.35 14.36 15.1 15.2 15.3 15.4 15.5 15.6 15.7 15.8 15.9 15.10 15.11 15.12 15.13 15.14 15.15 →
(кликните по решению, если нужно изменить размер)

Открыть номер 14.26 с телефона
Введите номер задания:
Всё для учебы » ГДЗ бесплатно » » Номер 14.26 - Решебник по алгебре 8 класс Мордкович