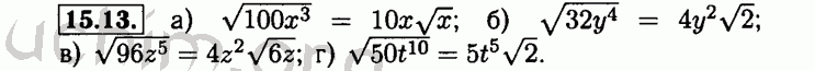
Номер 15.13 - Решебник по алгебре 8 класс Мордкович
Вы открыли задание номер 15.13 из решебника на uchim.org.
Другие номера:
← 14.24 14.25 14.26 14.27 14.28 14.29 14.30 14.31 14.32 14.33 14.34 14.35 14.36 15.1 15.2 15.3 15.4 15.5 15.6 15.7 15.8 15.9 15.10 15.11 15.12 15.13 15.14 15.15 15.16 15.17 15.18 15.19 15.20 15.21 15.22 15.23 15.24 15.25 15.26 15.27 15.28 15.29 15.30 15.31 15.32 15.33 15.34 15.35 15.36 15.37 15.38 →
(кликните по решению, если нужно изменить размер)

Открыть номер 15.13 с телефона
Введите номер задания:
Всё для учебы » ГДЗ бесплатно » » Номер 15.13 - Решебник по алгебре 8 класс Мордкович