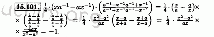
Номер 15.101 - Решебник по алгебре 8 класс Мордкович
Вы открыли задание номер 15.101 из решебника на uchim.org.
Другие номера:
← 15.76 15.77 15.78 15.79 15.80 15.81 15.82 15.83 15.84 15.85 15.86 15.87 15.88 15.89 15.90 15.91 15.92 15.93 15.94 15.95 15.96 15.97 15.98 15.99 15.100 15.101 15.102 15.103 15.104 15.105 15.106 16.1 16.2 16.3 16.4 16.5 16.6 16.7 16.8 16.9 16.10 16.11 16.12 16.13 16.14 16.15 16.16 16.17 16.18 16.19 16.20 →
(кликните по решению, если нужно изменить размер)

Открыть номер 15.101 с телефона
Введите номер задания:
Всё для учебы » ГДЗ бесплатно » » Номер 15.101 - Решебник по алгебре 8 класс Мордкович