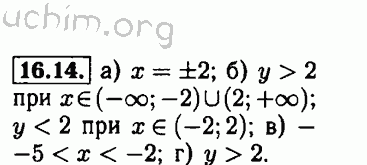
Номер 16.14 - Решебник по алгебре 8 класс Мордкович
Вы открыли задание номер 16.14 из решебника на uchim.org.
Другие номера:
← 15.95 15.96 15.97 15.98 15.99 15.100 15.101 15.102 15.103 15.104 15.105 15.106 16.1 16.2 16.3 16.4 16.5 16.6 16.7 16.8 16.9 16.10 16.11 16.12 16.13 16.14 16.15 16.16 16.17 16.18 16.19 16.20 16.21 16.22 16.23 16.24 16.25 16.26 16.27 16.28 16.29 16.30 16.31 16.32 16.33 16.34 16.35 16.36 16.37 16.38 16.39 →
(кликните по решению, если нужно изменить размер)

Открыть номер 16.14 с телефона
Введите номер задания:
Всё для учебы » ГДЗ бесплатно » » Номер 16.14 - Решебник по алгебре 8 класс Мордкович