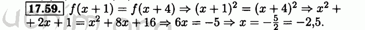
Номер 17.59 - Решебник по алгебре 8 класс Мордкович
Вы открыли задание номер 17.59 из решебника на uchim.org.
Другие номера:
← 17.34 17.35 17.36 17.37 17.38 17.39 17.40 17.41 17.42 17.43 17.44 17.45 17.46 17.47 17.48 17.49 17.50 17.51 17.52 17.53 17.54 17.55 17.56 17.57 17.58 17.59 17.60 17.61 17.62 17.63 17.64 17.65 17.66 18.1 18.2 18.3 18.4 18.5 18.6 18.7 18.8 18.9 18.10 18.11 18.12 18.13 18.14 18.15 18.16 18.17 18.18 →
(кликните по решению, если нужно изменить размер)

Открыть номер 17.59 с телефона
Введите номер задания:
Всё для учебы » ГДЗ бесплатно » » Номер 17.59 - Решебник по алгебре 8 класс Мордкович