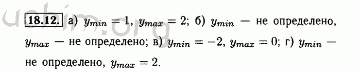
Номер 18.12 - Решебник по алгебре 8 класс Мордкович
Вы открыли задание номер 18.12 из решебника на uchim.org.
Другие номера:
← 17.53 17.54 17.55 17.56 17.57 17.58 17.59 17.60 17.61 17.62 17.63 17.64 17.65 17.66 18.1 18.2 18.3 18.4 18.5 18.6 18.7 18.8 18.9 18.10 18.11 18.12 18.13 18.14 18.15 18.16 18.17 18.18 18.19 18.20 18.21 18.22 18.23 18.24 18.25 18.26 18.27 18.28 18.29 18.30 18.31 18.32 18.33 18.34 18.35 18.36 18.37 →
(кликните по решению, если нужно изменить размер)

Открыть номер 18.12 с телефона
Введите номер задания:
Всё для учебы » ГДЗ бесплатно » » Номер 18.12 - Решебник по алгебре 8 класс Мордкович