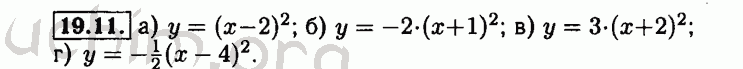
Номер 19.11 - Решебник по алгебре 8 класс Мордкович
Вы открыли задание номер 19.11 из решебника на uchim.org.
Другие номера:
← 18.24 18.25 18.26 18.27 18.28 18.29 18.30 18.31 18.32 18.33 18.34 18.35 18.36 18.37 18.38 19.1 19.2 19.3 19.4 19.5 19.6 19.7 19.8 19.9 19.10 19.11 19.12 19.13 19.14 19.15 19.16 19.17 19.18 19.19 19.20 19.21 19.22 19.23 19.24 19.25 19.26 19.27 19.28 19.29 19.30 19.31 19.32 19.33 19.34 19.35 19.36 →
(кликните по решению, если нужно изменить размер)

Открыть номер 19.11 с телефона
Введите номер задания:
Всё для учебы » ГДЗ бесплатно » » Номер 19.11 - Решебник по алгебре 8 класс Мордкович