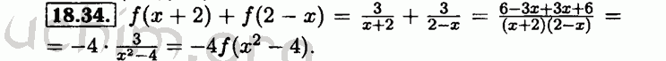
Номер 18.34 - Решебник по алгебре 8 класс Мордкович
Вы открыли задание номер 18.34 из решебника на uchim.org.
Другие номера:
← 18.9 18.10 18.11 18.12 18.13 18.14 18.15 18.16 18.17 18.18 18.19 18.20 18.21 18.22 18.23 18.24 18.25 18.26 18.27 18.28 18.29 18.30 18.31 18.32 18.33 18.34 18.35 18.36 18.37 18.38 19.1 19.2 19.3 19.4 19.5 19.6 19.7 19.8 19.9 19.10 19.11 19.12 19.13 19.14 19.15 19.16 19.17 19.18 19.19 19.20 19.21 →
(кликните по решению, если нужно изменить размер)

Открыть номер 18.34 с телефона
Введите номер задания:
Всё для учебы » ГДЗ бесплатно » » Номер 18.34 - Решебник по алгебре 8 класс Мордкович