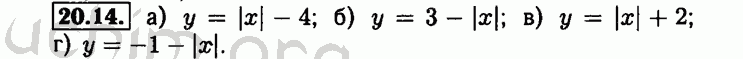
Номер 20.14 - Решебник по алгебре 8 класс Мордкович
Вы открыли задание номер 20.14 из решебника на uchim.org.
Другие номера:
← 19.47 19.48 19.49 19.50 19.51 19.52 19.53 19.54 19.55 19.56 19.57 19.58 20.1 20.2 20.3 20.4 20.5 20.6 20.7 20.8 20.9 20.10 20.11 20.12 20.13 20.14 20.15 20.16 20.17 20.18 20.19 20.20 20.21 20.22 20.23 20.24 20.25 20.26 20.27 20.28 20.29 20.30 20.31 20.32 20.33 20.34 20.35 20.36 20.37 20.38 20.39 →
(кликните по решению, если нужно изменить размер)

Открыть номер 20.14 с телефона
Введите номер задания:
Всё для учебы » ГДЗ бесплатно » » Номер 20.14 - Решебник по алгебре 8 класс Мордкович