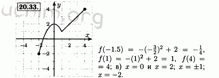
Номер 20.33 - Решебник по алгебре 8 класс Мордкович
Вы открыли задание номер 20.33 из решебника на uchim.org.
Другие номера:
← 20.8 20.9 20.10 20.11 20.12 20.13 20.14 20.15 20.16 20.17 20.18 20.19 20.20 20.21 20.22 20.23 20.24 20.25 20.26 20.27 20.28 20.29 20.30 20.31 20.32 20.33 20.34 20.35 20.36 20.37 20.38 20.39 20.40 20.41 20.42 21.1 21.2 21.3 21.4 21.5 21.6 21.7 21.8 21.9 21.10 21.11 21.12 21.13 21.14 21.15 21.16 →
(кликните по решению, если нужно изменить размер)

Открыть номер 20.33 с телефона
Введите номер задания:
Всё для учебы » ГДЗ бесплатно » » Номер 20.33 - Решебник по алгебре 8 класс Мордкович