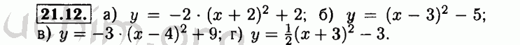
Номер 21.12 - Решебник по алгебре 8 класс Мордкович
Вы открыли задание номер 21.12 из решебника на uchim.org.
Другие номера:
← 20.29 20.30 20.31 20.32 20.33 20.34 20.35 20.36 20.37 20.38 20.39 20.40 20.41 20.42 21.1 21.2 21.3 21.4 21.5 21.6 21.7 21.8 21.9 21.10 21.11 21.12 21.13 21.14 21.15 21.16 21.17 21.18 21.19 21.20 21.21 21.22 21.23 21.24 21.25 21.26 21.27 21.28 21.29 22.1 22.2 22.3 22.4 22.5 22.6 22.7 22.8 →
(кликните по решению, если нужно изменить размер)

Открыть номер 21.12 с телефона
Введите номер задания:
Всё для учебы » ГДЗ бесплатно » » Номер 21.12 - Решебник по алгебре 8 класс Мордкович