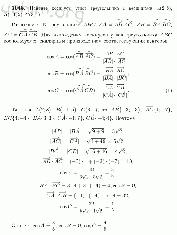
Номер 1048 - Решебник по геометрии 7-9 класс Атанасян
Вы открыли задание номер 1048 из решебника на uchim.org.
Другие номера:
← 1022 1023 1024 1025 1026 1027 1028 1029 1030 1031 1032 1034 1035 1036 1037 1038 1039 1040 1041 1042 1043 1044 1045 1046 1047 1048 1049 1050 1051 1052 1053 1056 1057 1058 1059 1060 1061 1062 1063 1064 1065 1066 1067 1068 1069 1070 1071 1072 1075 1076 1077 →
(кликните по решению, если нужно изменить размер)

Введите номер задания:
Всё для учебы » ГДЗ бесплатно » » Номер 1048 - Решебник по геометрии 7-9 класс Атанасян