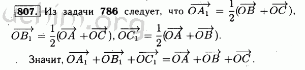
Номер 807 - Решебник по геометрии 7-9 класс Атанасян
Вы открыли задание номер 807 из решебника на uchim.org.
Другие номера:
← 782 783 784 785 786 787 788 789 790 791 792 793 794 795 796 797 798 799 800 801 802 803 804 805 806 807 808 809 810 1 2 3 4 5 6 7 8 9 10 11 12 13 14 15 16 17 18 19 20 21 22 →
(кликните по решению, если нужно изменить размер)

Введите номер задания:
Всё для учебы » ГДЗ бесплатно » » Номер 807 - Решебник по геометрии 7-9 класс Атанасян