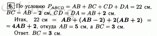
Номер 6 - Решебник по геометрии 7-9 класс Атанасян
Вы открыли задание номер 6 из решебника на uchim.org.
Другие номера:
← 791 792 793 794 795 796 797 798 799 800 801 802 803 804 805 806 807 808 809 810 1 2 3 4 5 6 7 8 9 10 11 12 13 14 15 16 17 18 19 20 21 22 23 24 25 26 27 28 29 30 31 →
(кликните по решению, если нужно изменить размер)

Введите номер задания:
Всё для учебы » ГДЗ бесплатно » » Номер 6 - Решебник по геометрии 7-9 класс Атанасян