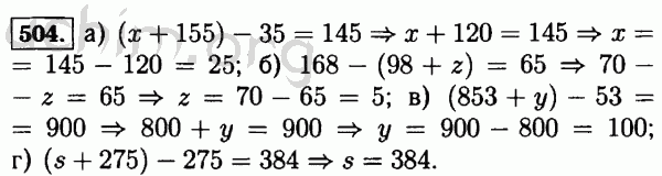
Номер 504 - Решебник по математике 5 класс Виленкин
Вы открыли задание номер 504 из решебника на uchim.org.
Другие номера:
← 479 480 481 482 483 484 485 486 487 488 489 490 491 492 493 494 495 496 497 498 499 500 501 502 503 504 505 506 507 508 509 510 511 512 513 514 515 516 517 518 519 520 521 522 523 524 525 526 527 528 529 →
(кликните по решению, если нужно изменить размер)

Введите номер задания:
Всё для учебы » ГДЗ бесплатно » » Номер 504 - Решебник по математике 5 класс Виленкин