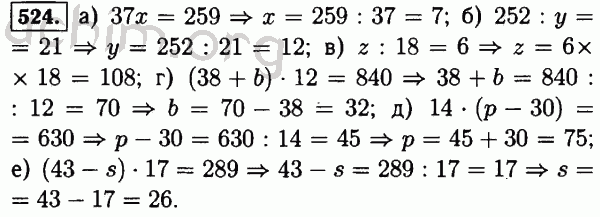
Номер 524 - Решебник по математике 5 класс Виленкин
Вы открыли задание номер 524 из решебника на uchim.org.
Другие номера:
← 499 500 501 502 503 504 505 506 507 508 509 510 511 512 513 514 515 516 517 518 519 520 521 522 523 524 525 526 527 528 529 530 531 532 533 534 535 536 537 538 539 540 541 542 543 544 545 546 547 548 549 →
(кликните по решению, если нужно изменить размер)

Введите номер задания:
Всё для учебы » ГДЗ бесплатно » » Номер 524 - Решебник по математике 5 класс Виленкин