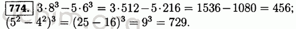
Номер 774 - Решебник по математике 5 класс Виленкин
Вы открыли задание номер 774 из решебника на uchim.org.
Другие номера:
← 749 750 751 752 753 754 755 756 757 758 759 760 761 762 763 764 765 766 767 768 769 770 771 772 773 774 775 776 777 778 779 780 781 782 783 784 785 786 787 788 789 790 791 792 793 794 795 796 797 798 799 →
(кликните по решению, если нужно изменить размер)

Введите номер задания:
Всё для учебы » ГДЗ бесплатно » » Номер 774 - Решебник по математике 5 класс Виленкин