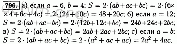
Номер 796 - Решебник по математике 5 класс Виленкин
Вы открыли задание номер 796 из решебника на uchim.org.
Другие номера:
← 771 772 773 774 775 776 777 778 779 780 781 782 783 784 785 786 787 788 789 790 791 792 793 794 795 796 797 798 799 800 801 802 803 804 805 806 807 808 809 810 811 812 813 814 815 816 817 818 819 820 821 →
(кликните по решению, если нужно изменить размер)

Введите номер задания:
Всё для учебы » ГДЗ бесплатно » » Номер 796 - Решебник по математике 5 класс Виленкин