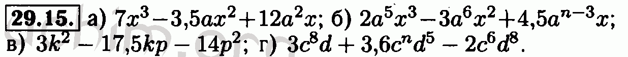
Номер 29.15 - Решебник по алгебре 7 класс Мордкович
Вы открыли задание номер 29.15 из решебника на uchim.org.
Другие номера:
← 28.55 28.56 28.57 28.58 28.59 28.60 28.61 28.62 28.63 28.64 28.65 29.1 29.2 29.3 29.4 29.5 29.6 29.7 29.8 29.9 29.10 29.11 29.12 29.13 29.14 29.15 29.16 29.17 Вариант №1 Вариант №2 30.1 30.2 30.3 30.4 30.5 30.6 30.7 30.8 30.9 30.10 30.11 30.12 30.13 30.14 30.15 30.16 30.17 30.18 31.1 31.2 31.3 →
(кликните по решению, если нужно изменить размер)

Открыть номер 29.15 с телефона
Введите номер задания:
Всё для учебы » ГДЗ бесплатно » » Номер 29.15 - Решебник по алгебре 7 класс Мордкович